In three-phase electrical systems, two types of voltages often create confusion: line voltage and phase voltage. Understanding them is essential for designing, measuring, and using electrical systems safely in homes, offices, and industries.
This guide explains what each voltage is, their relation, and the differences, with formulas, examples, and practical applications.
What is Phase Voltage?
Phase voltage is the voltage across a single winding (or phase) of a three-phase system. It is measured between one phase terminal and the neutral point.
- Star (Y) connection: Measured between a line and neutral.
- Delta (Δ) connection: No neutral exists, so the voltage across a phase equals the voltage between lines.
Formula (Star connection):

Where:
- Vph = Phase Voltage
- Vline = Line Voltage
Example:
If line voltage = 400 V (Star connection):

Homes using a 3-phase star system receive 230 V supply for single-phase appliances.
What is Line Voltage?
Line voltage is measured between any two line conductors in a three-phase system.
- Star connection: Line voltage = √3 × Phase voltage.
- Delta connection: Line voltage = voltage across a single winding.
Formula (Star connection):

Example:
If phase voltage = 230 V

Industries typically use 400 V supply to power motors, pumps, and heavy machines.
Read detialed article: Line Voltage in 3-Phase System: Basics, Formula & Importance
Relation Between Line Voltage and Phase Voltage
The relationship depends on the connection type:
Star (Y) connection:

Delta (Δ) connection:

In a star system, the voltage between lines is higher than the voltage across a phase.
In a delta system, the two voltages are equal.
Derivation of Relation Between Line and Phase Voltage
We will now derive the relationship between line voltage and phase voltage in a star-connected system using both the mathematical approach and the phasor method.
Mathematical Derivation
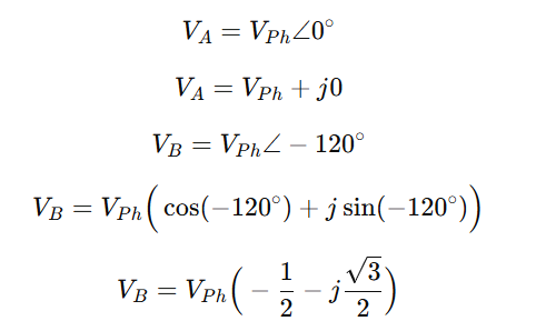
Consider a balanced star-connected load with phase voltages VAO,VBO,VCO at the three phases.
Phase voltage: VAN=VAO, VBN=VBO, VCN=VCO
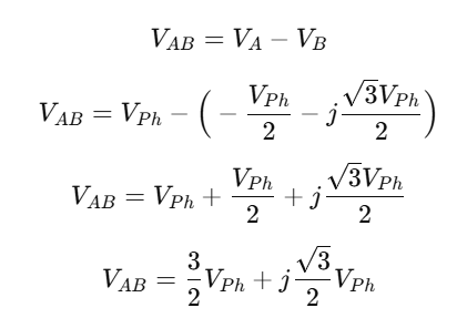
Line voltage between phases A and B:
VAB=VA−VB
Expressing in phasor form:
- VA=VPh∠0∘
- VB=VPh∠−120∘V
Then:
VAB =VA−VB =VPh∠0∘−VPh∠−120∘V
Convert to rectangular form:

Then,

Therefore,

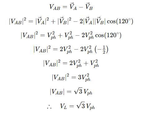
Since, VAB=VL

Phasor Diagram Method
- Draw a phasor triangle of phase voltages VA,VB,VC separated by 120°.
- Line voltage VAB is the vector difference VA−VB.
- Using vector subtraction and trigonometry, the magnitude of VAB forms a triangle with sides of magnitude VPh

Using phasor and cosine rule,

Line Voltage and Phase Voltage in Star Connection
In a star connection, one end of each winding is joined to a neutral point.
- Phase voltage → measured from one line to neutral.
- Line voltage → measured between two lines.
Example:
- Line voltage = 400 V
- Phase voltage = 230 V
This explains why household supply is 230 V, while industries run equipment on 400 V.
Line and Phase Voltages in Delta Connection
In a delta system, windings form a closed loop.
- Each line is across a single winding.
- Therefore, the voltage across a phase = voltage between lines.
Example:
- Line voltage = 400 V
- Phase voltage = 400 V
Formulas Summary Table
| Connection | Line Voltage | Phase Voltage |
| Star | Vline = √3 × Vph | Vph = Vline ÷ √3 |
| Delta | Vline = Vph | Vph = Vline |
Numerical Example: Star vs Delta
Suppose a three-phase system has a line-to-line voltage of 415 V:

This illustrates how the connection type affects voltage across a single winding.
Difference Between Line and Phase Voltages
| Aspect | Line Voltage | Phase Voltage |
| Definition | Voltage measured between two lines | Voltage measured from line to neutral |
| Symbol | Vline | Vph |
| Star Connection | Vline = √3 × Vph | Vph = Vline / √3 |
| Delta Connection | Equal to voltage across a phase | Equal to line voltage |
| Common Value | 400 V | 230 V |
| Measurement | Between two lines | Between line and neutral |
Advantages of Star vs Delta Connections
Understanding the benefits of each connection type helps in selecting the right system for homes, offices, or industries.
Star (Y) Connection:
- Safer for residential and light commercial appliances.
- Provides a neutral point, allowing use of single-phase loads.
- Voltage across each phase is lower, reducing the risk of equipment damage.
Read detailed article: Star Connection in a 3 Phase System
Delta (Δ) Connection:
- Suitable for industrial machines and heavy motors.
- No neutral required, simplifying high-power three-phase setups.
- Provides higher line voltage, allowing more power transfer to equipment.
Applications
- Phase voltage (≈230 V):
- Powers household appliances like lights, fans, TVs, and refrigerators.
- Used in small offices and residential wiring.
- Line voltage (≈400 V):
- Powers industrial machines such as motors, pumps, compressors.
- Used in factories and commercial setups for heavy equipment.
- Understanding the difference between these voltages is crucial for transformer design, motor selection, and safe electrical installation.
Homes use 230 V phase supply, while industries use 400 V line supply.
Safety Notes
When dealing with Star and Delta connections, safety must always be the top priority. Choosing the wrong voltage level or wiring method can damage equipment and create electrical hazards.
- Correct Voltage Selection: Always match the line voltage and phase voltage to the rating of the connected appliances or motors. Overvoltage can burn out household devices, while undervoltage can reduce efficiency and damage motors.
- Neutral Availability: Star connections provide a neutral point, making them safer for household and low-power equipment. Delta has no neutral, so it must be used carefully with balanced loads.
- Avoid Incorrect Connections: A misconnection between Star and Delta systems can cause short circuits or overloads. Proper labeling and testing should be done before energizing.
- Qualified Supervision: Installations and conversions between Star and Delta must always be carried out by a trained electrician to prevent accidents.
Warning: Never attempt to modify Star or Delta wiring without professional knowledge—improper handling can lead to equipment failure, fire hazards, or electric shock.
Conclusion
- Phase voltage → measured between line and neutral.
- Line voltage → measured between two lines.
- In star systems, line voltage = √3 × phase voltage.
- In delta systems, line voltage = phase voltage.
FAQ on Line Voltage and Phase Voltage
In a star connection, the line voltage becomes √3 times the phase voltage because of vector addition of the phases. In delta, both voltages remain equal.
It varies by region. In India, it is 415 V (line) and 240 V (phase). In the US, 208 V, 480 V, and 600 V are common in industries.
Star connection is safer for household applications because it provides a neutral wire, ensuring lower phase voltage (e.g., 230/240 V). Delta connection delivers higher power and is typically used for motors, but it does not have a neutral.
Related Article: